【實用教育app】圖形計算器 Mathlab (專業版)|最夯免費app

【實用教育app】圖形計算器 Mathlab (專業版)|最夯免費app

分享好友

【免費教育App】圖形計算器 Mathlab (專業版)-APP點子

如果您需要一款運行流暢、功能完善的圖形計算器應用,那麼該產品正適合您!Mathlab圖形計算器是一款融合了代數計算功能的科學圖形計算器,對於小學、大學、甚至研究生院均是必不可少的工具,同時適合需要一款比基本計算器具有更豐富功能的產品的人士使用。該產品可用於取代笨重而昂貴的掌上型圖形計算器,且可以在幾乎所有Android電話或平板電腦上使用。

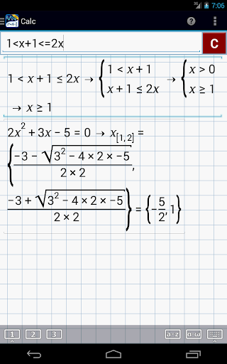
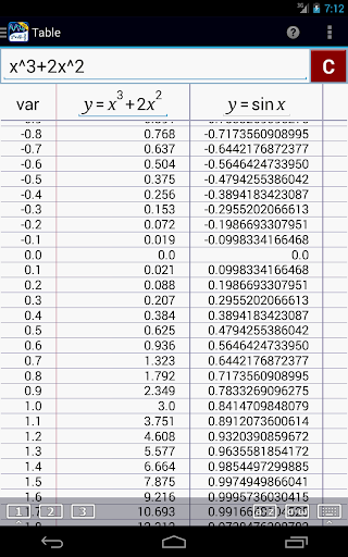
另外,Mathlab圖形計算器將在Android設備高品質的顯示幕上顯示計算過程和結果,便於使用者理解和查看。該應用擁有兩大優點。第一,它是一款優秀的科學計算器,不僅如此,它還將隨著您的輸入而顯示出計算過程的中間步驟。它讓學生們可以觀看和學習計算的過程和方法以及如何得出最終結果。第二,它具備絕對出色的圖形功能!計算器不僅能漂亮地展示圖形,同時還能夠自動地生成並顯示x值和y值。

説明網站上提供了指南和實例:http://help.mathlab.us

http://www.microsofttranslator.com/bv.aspx?from=en&to=zh-CHT&a=http%3A%2F%2Fhelp.mathlab.us%2F

如有疑問,請發送電郵至calc@mathlab.us

科學計算器

【免費教育App】圖形計算器 Mathlab (專業版)-APP點子

* 算術運算式:、-、*、/、÷

* 平方根、立方根和多次方根(按住‘√’鍵)

【免費教育App】圖形計算器 Mathlab (專業版)-APP點子

* 指數、對數(ln,log)

* 三角函數:in π/2、cos 30°……

【免費教育App】圖形計算器 Mathlab (專業版)-APP點子

* 雙曲線函數:inh、cosh、tanh……(按住“e”鍵進行切換)

* 反函數(按住直接功能鍵)

【免費教育App】圖形計算器 Mathlab (專業版)-APP點子

* 複數,所有功能均支持複數參數

* 導數:in x' = cos x……(按住x^n鍵)

【免費教育App】圖形計算器 Mathlab (專業版)-APP點子

* 科學記數法(在菜單中啟用)

* 百分比模式

【免費教育App】圖形計算器 Mathlab (專業版)-APP點子

* 保存/載入歷史

圖形計算器

* 多函數圖形

【免費教育App】圖形計算器 Mathlab (專業版)-APP點子

* 從隱函數到2次函數(橢圓函數2x^2+3y^2=1,等等)

* 極圖(r=cos2θ)

【免費教育App】圖形計算器 Mathlab (專業版)-APP點子

* 參數函數,在新的一行輸入每一個值(x=cos t,y=sin t)

* 在圖形上應用原點和臨界點,點擊核取方塊開啟或關閉(左上角),使用功能表以清單形式顯示

【免費教育App】圖形計算器 Mathlab (專業版)-APP點子

* 相交圖(x^2=x+1)

* 描繪函數值和斜率

【免費教育App】圖形計算器 Mathlab (專業版)-APP點子

* 可以滾動和調整大小的圖形

* 拉伸縮放

【免費教育App】圖形計算器 Mathlab (專業版)-APP點子

* 橫向模式下的全屏圖形

* 函數表

【免費教育App】圖形計算器 Mathlab (專業版)-APP點子

* 保存圖形為圖片

* 保存圖形為csv檔

分數計算器

【免費教育App】圖形計算器 Mathlab (專業版)-APP點子

* 簡分數和繁分數:/2 + 1/3 = 5/6

* 帶分數,使用空格輸入值: 3 1/2

代數計算器

【免費教育App】圖形計算器 Mathlab (專業版)-APP點子

* 線性方程: x+1=2 -> x=1

* 二次方程: x^2-1=0 -> x=-1,1

【免費教育App】圖形計算器 Mathlab (專業版)-APP點子

* 高次多項式的近似根

* 線性方程組,每行輸入一條方程:x1+x2=1,x1-x2=2

【免費教育App】圖形計算器 Mathlab (專業版)-APP點子

* 多項式長除法

* 多項式展開,因式分解

矩陣計算器

【免費教育App】圖形計算器 Mathlab (專業版)-APP點子

* 矩陣和適量運算

* 標量積(按住*),向量積

* 行列式、倒數、範數、轉置矩陣、交點

函式程式庫

* 使用者自訂常量和函數

* 保存/載入運算式

免費玩圖形計算器 Mathlab (專業版) APP玩免費

免費玩圖形計算器 Mathlab (專業版) App

圖形計算器 Mathlab (專業版) APP LOGO

圖形計算器 Mathlab (專業版) LOGO-APP點子

圖形計算器 Mathlab (專業版) APP QRCode

圖形計算器 Mathlab (專業版) QRCode-APP點子
熱門國家系統支援版本費用APP評分上架日期更新日期
未知Android
Google Play
3.2.87
App下載
USD$2.99
1970-01-012015-04-20
分享app
上一個APP
下一個APP

高評價教育App推薦

YBM TOEIC® Speaking Test

TOEIC® Speaking 공인시험 체험하기 서비스가 업데이트 되었습니다.TOEIC® Speaking 시험을 준비하시는 분TOEIC® Speaking 에 대하여 관심 있으신 분YBM TOEIC® Speaking 공인시험 체험 어플리케이션으로언제 어디서든 TOEIC® …
토익스피킹 타이머

이 어플리케이션은 토익스피킹을 공부하는 사람들을 위해 제작되었습니다.토익스피킹 공부시 시간을 측정하면서 공부 할 수 있습니다.간단한 사용법-버튼 설명이전문제, 다음문제 : 이전 또는 다음문제로 넘어갑니다.시작 : 카운트를 시작합니다.현재초기화 : 현재 카운트중인 시간을 …
스마트스피킹 TOEIC

(new)SMART Speaking TOEIC 신버전이 릴리즈 되었습니다. 기존 버전에서 녹음 오류 버그 등을 비롯해 간헐적으로 발생하던 버그들을 수정하여 신버전으로 다시 출시했습니다! 지금 바로 !신버전!을 받아주세요. 신버전 받으러가기 -->> http://goo. …