【實用書籍app】微積分公式|最夯免費app

【實用書籍app】微積分公式|最夯免費app

分享好友

【免費書籍App】微積分公式-APP點子

對學生非常有用的應用程序。

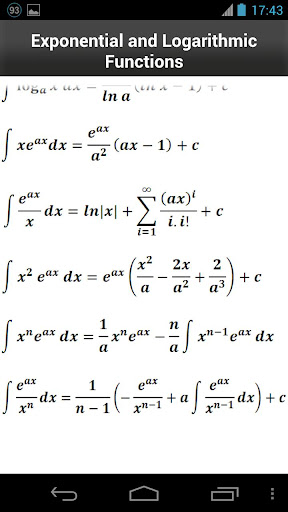
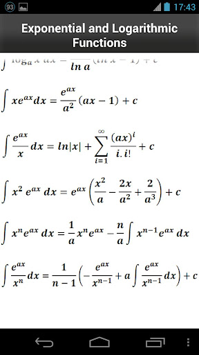
該應用程序列出了所有重要的演算公式 - 衍生公式和積分公式。

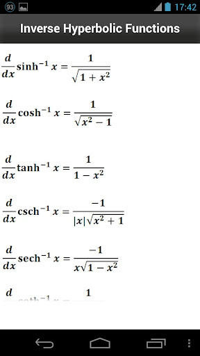
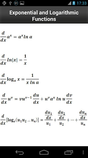
衍生公式 - 指數,對數,三角函數,反三角函數,雙曲,反雙曲,不同形式的鍊式法則等。

集成的公式 - 三角函數,雙曲函數,指數函數和對數,定積分,雜項公式。

讓我們知道,如果您有任何建議/問題。如果你覺得需要列出任何其他的公式,然後寫信給我們,education.useful @ gmail.com

【免費書籍App】微積分公式-APP點子

【免費書籍App】微積分公式-APP點子

【免費書籍App】微積分公式-APP點子

【免費書籍App】微積分公式-APP點子

【免費書籍App】微積分公式-APP點子

【免費書籍App】微積分公式-APP點子

免費玩微積分公式 APP玩免費

免費玩微積分公式 App

微積分公式 APP LOGO

微積分公式 LOGO-APP點子

微積分公式 APP QRCode

微積分公式 QRCode-APP點子
熱門國家系統支援版本費用APP評分上架日期更新日期
未知Android
Google Play
4.4
App下載
免費
1970-01-012015-04-19
台灣 TaiwanAndroid
Google Play
4.4
App下載
免費
2014-07-312015-01-14