【實用教育app】C1 EdExcel 2011 Past Papers|最夯免費app

【實用教育app】C1 EdExcel 2011 Past Papers|最夯免費app

分享好友

【免費教育App】C1 EdExcel 2011 Past Papers-APP點子

Hi Guys,

【免費教育App】C1 EdExcel 2011 Past Papers-APP點子

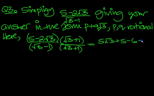
Here's a Smart Worksheet for EdExcel C1 2011 past papers taken from both January and May's 2011 exam papers.

【免費教育App】C1 EdExcel 2011 Past Papers-APP點子

The worksheet includes worked video solutions of all the questions. There's a host of extras and useful tools too. Resets are also included so that you can keep track of how your progress.

【免費教育App】C1 EdExcel 2011 Past Papers-APP點子

There's also an email? so that you can submit any questions on this topic you might have.

【免費教育App】C1 EdExcel 2011 Past Papers-APP點子

Hope you enjoy this sheet and any feedback is always appreciated.

【免費教育App】C1 EdExcel 2011 Past Papers-APP點子

Cheers,

【免費教育App】C1 EdExcel 2011 Past Papers-APP點子

Mark

免費玩C1 EdExcel 2011 Past Papers APP玩免費

免費玩C1 EdExcel 2011 Past Papers App

C1 EdExcel 2011 Past Papers APP LOGO

C1 EdExcel 2011 Past Papers LOGO-APP點子

C1 EdExcel 2011 Past Papers APP QRCode

C1 EdExcel 2011 Past Papers QRCode-APP點子
熱門國家系統支援版本費用APP評分上架日期更新日期
未知Android
Google Play
2.0
App下載
免費
1970-01-012015-03-11
分享app
上一個APP
下一個APP

高評價教育App推薦