【實用教育app】Edexcel FP2|最夯免費app

【實用教育app】Edexcel FP2|最夯免費app

分享好友

【免費教育App】Edexcel FP2-APP點子

If you’ve seen ExamSolutions.net desktop version but want the ease of use on your Android Mobile or Tablet without the adverts but with all the video tutorials then this app is for you or your school.

Each app in this series covers the essential topics for the module, presenting them in short video tutorials and explained in a clear mathematical style so as you can progress quickly and smoothly through the topics. There are further supplementary exercises and worked solutions from the Edexcel exam boards past papers for you to try, essential to improving your grade.

It is like having your own personal tutor but at a fraction of the cost. You can pause, rewind, play again and again and learn at your own pace. Learn on the go or place a video in your favourites to view later.

This is a valuable resource that will work side by side with a text book and should help you to get the grade you want, whether you are at school, college or just studying on your own.

* PLEASE NOTE THAT THIS APP REQUIRES AN INTERNET CONNECTION TO PLAY VIDEOS.

Module Content

Inequalities:

- Fractional Inequalities

- Solution by graphical methods

- Solution by analytical methods

- Modulus Inequalities (including fractional types)

Series:

- Method of Differences

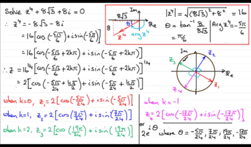
Further complex numbers:

【免費教育App】Edexcel FP2-APP點子

- Modulus-argument form

- Exponential Form (Eulers relation)

- Multiplication rule for the mod and argument of two complex numbers

- Division rule for the mod and argument of two complex numbers

- de Moivre’s Theorem

- Expressing sin(nθ) and cos(nθ) in terms of sinθ and cosθ

【免費教育App】Edexcel FP2-APP點子

- Expressing sin^n(θ) and cos^n(θ) in terms of sin(kθ) and cos(kθ)

- Introduction - new identities you will need

- nth roots of a complex number

- Loci in the complex plane

- The locus of a point moving in a circle, |z-z1|=r

- The locus of a point moving along a perpendicular bisector, |z-z1|=|z-z2|

【免費教育App】Edexcel FP2-APP點子

- The locus of a point moving along a half-line, arg(z-z1) = θ

- The locus of a point moving on the arc of a circle, arg[(z-z1)/(z-z2)]=θ

- Using complex numbers to represent regions on an Argand diagram

- Transformations of the complex plane

First order differential equations:

- Separating the variables (Revision)

- Finding a general solution and a particular solution

【免費教育App】Edexcel FP2-APP點子

- Working with constants in log types

- Exponential and trig type (a little more challenging)

- Family of curves

- Separating the variables and sketching a family of curves

- Exact equations (integrating factors)

- Exact equations where one side is the exact derivative of a product

【免費教育App】Edexcel FP2-APP點子

- Solving equations of the form dy/dx+Py=Q using an integrating factor

- Substitution types

- Using substitution to reduce a differential equation to a known form

Second order differential equations:

- Equations of the form a d²y/dx² + b dy/dx + cy = 0

- Equations of the form a d²y/dx² + b dy/dx + cy = f(x)

- General solutions

【免費教育App】Edexcel FP2-APP點子

- Introduction where f(x) = k (constant types)

- where f(x) = linear types or quadratic types or exponential types

- where f(x) = m cosωx + n sinωx (trig types)

- Particular solutions

- Using boundary conditions to solve differential equations

- Using a Substitution

【免費教育App】Edexcel FP2-APP點子

- Using substitution to reduce a differential equation to a known form

Maclaurin and Taylor series:

- Maclaurin’s series

- Taylor’s series

Polar coordinates and curves:

- Coordinates

- Defining the position of a point

- Converting cartesian coordinates to polar coordinates

【免費教育App】Edexcel FP2-APP點子

- Converting polar coordinates to cartesian coordinates

- Equations of Curves

- Converting the equation of a polar curve to cartesian form

- Converting the equation of a cartesian curve to polar form

- Sketching the polar equation

- Area Bounded by a Polar Curve

【免費教育App】Edexcel FP2-APP點子

- Tangents

Past Exam Papers (selection)

【免費教育App】Edexcel FP2-APP點子

免費玩Edexcel FP2 APP玩免費

免費玩Edexcel FP2 App

Edexcel FP2 APP LOGO

Edexcel FP2 LOGO-APP點子

Edexcel FP2 APP QRCode

Edexcel FP2 QRCode-APP點子
熱門國家系統支援版本費用APP評分上架日期更新日期
未知Android
Google Play
1.2
App下載
GBP$1.99
1970-01-012015-04-19
未知iOS
App Store
3.2
App下載
免費
2014-01-282015-06-04
分享app
上一個APP
下一個APP

高評價教育App推薦

英语字母表

★26个字母、发音、笔顺练习、单词词汇. ★多彩的图片、标准的美式纯正发音. ★全系列支持iPad,iPhone5和iPod Touch Retina 屏幕 App包含26个字母标准的美式纯正发音。针对,内置了多家儿童英语教育机构如朗文、迪斯尼等教材中建议学习单词词汇和精美的图片, 科学且系统; 内 …
百度传课

传课正式更名为百度传课,启用全新品牌! 百度传课iPhone版是百度传课为用户倾情打造iPhone平台的即时互动学习应用。通过百度传课iPhone版,可以随时随地观看百度传课平台上的直播课及海量视频课。 【直播课】 直播课是百度传课最具特色的功能。百度传课的直播课程支持全方位的多媒体教学,PPT课件 …
青梅-校园生活速递

青梅,你的校园生活速递! 青梅,专为每个学校单独定制,依托本校校园媒体、知名社团自主运营的校园手机客户端。开放的QMer平台,汇聚本校所有官方组织、知名社团、周边商铺、校园达人、麻辣教师……共同为你提供校园生活必备服务。自主订阅,随时随地,给你想要的大学生活! 清华大学、中国人民大学、复旦大学、武汉 …